Гугл

середа, 13 березня 2019 р.

Скифское золото и миллион евро за юруслуги (ДОПОЛНЕНИЕ)

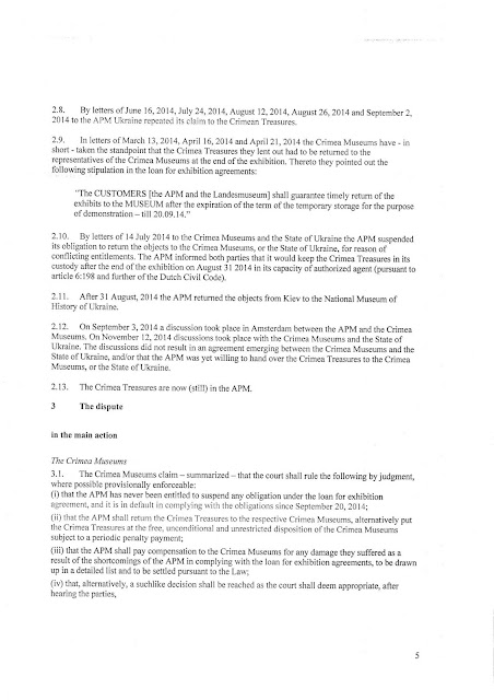
В 2013 году Украина дала согласие на экспонирование скифского золота в Амстердаме в музее Алларда Пирсона. С 6 февраля 2014 года по 31 августа 2014 года в музее проводилась выставка «Крым - золото и тайны Черного моря» («Крым - Золотой остров в Черном море»). Музей АП вернул Киеву скифское золото, кроме того, что было взято из крымских музеев. 

Украина и крымские музеи подали иски к музею АП о возвращении скифского золота (в Киев или в аннексированный Крым). 2 года Окружной суд города Амстердам рассматривал иски и 14.12.2016 удовлетворил иск Украины, при этом Украина должна выплатить музею АП 111 689,08 евро за хранение музейных экспонатов. Сейчас дело 2 года рассматривается в Апелляционном суде города Амстердам. 11.03.2019 было заседание, но пока не известно, какое решение принял суд. Ориентировочно решение будет оглашено 11.06.2019.

А вот тут внимание. 

Украину в суде представляет юридическая фирма «Bergh Stoop & Sanders N.V.», которой на платной основе помогает украинское адвокатское объединение "Сергей Козяков и Партнеры". Сергей Козьяков является главой Высшей квалификационной комиссии судей Украины.




Цена юридических услуг: 
2014-2015 гг. - 225 846,74 евро
2016 г. - 221 852,35 (оплачено 217 044,91) евро
2017 г. - 283 800 (оплачено 272 191,99) евро
2018 г. - 375 980 евро 
01.01.-01.07.2019 - до 75 196 евро (до 20 % от суммы за 2018 г.)

Итого: +- 1 180 000 евро юруслуги + 112 000 евро музею АП.



Что меня смущает, так это рост стоимости юридических услуг с каждым годом. Дело в том, что все доказательства были собраны на этапе рассмотрения дела в первой инстанции. По сути, в апелляции нет оснований для роста объемов юруслуг. И тут у меня вопрос, а нет ли здесь завышения объема услуг? Такое вполне может быть...


www.facebook.com/tytych/posts/2075519409182858


Решение первой инстанции вполне можно прочитать через переводчик от Гугла
https://uitspraken.rechtspraak.nl/inziendocument?id=ECLI:NL:RBAMS:2016:8264


ДОПОВНЕННЯ

Направив запит до Міністерства юстиції України:

Прошу надати український переклад рішення Окружного суду міста Амстердам у справі № HA ZA 14-1179 від 14.12.2016 за позовом Центрального музею Тавриди, Керченського історико-археологічного музею, Бахчисарайського державного історико-культурного заповідника Республіки Крим, Національного заповідника «Херсонес Таврійський» та держави України до Університету Амстердама (Музей Алларда Пірсона) щодо повернення скіфського золота в Україну. Такий переклад має бути в наявності у розпорядника інформації з огляду на оплату перекладу документів.


Також юридична фірма «Bergh Stoop & Sanders N.V.» включила до своїх послуг, які надає Міністерству юстиції України за договором № 33-205 про закупівлю юридичних послуг від 08.10.2018, замовлення експертного висновку у професора Анатолія Довгерта з питань речового та зобов’язального права на суму 8 000 євро. Такий висновок має бути в наявності у розпорядника інформації з огляду на оплату цих послуг.


Також прошу повідомити, чи відомо розпоряднику інформації, скільки судових засідань було проведено в Окружному суді міста Амстердам та Апеляційному суді міста Амстердам по цій справі?


Отримав відповідь:








































понеділок, 4 березня 2019 р.

Юридичний зв'язок між Зеленським та Гриценком


Ви собі можете уявити, щоб якийсь адвокат представляв інтереси партії "Батьківщина" і одночасно захищав честь, гідність та ділову репутацію Петра Олексійовича в судах? Очевидно, що це був би конфлікт інтересів, оскільки Порошенко і партія Тимошенко є противниками.



Тож, досить дивно виглядає, коли адвокат Качура Олександр Анатолійович захищає інтереси в судах кандидата в Президенти України Гриценка Анатолія Степановича і одночасно його Адвокатське бюро "Качура Лоєрс" розмістило в своєму офісі політичну партію «Слуга народу», яка має прямий зв’язок з командою кандидата в Президенти України Зеленського Володимира Олександровича. 


До речі, тут виникає запитання, чи правомірно розміщувати політичну партію в одному офісі (вул. Січових Стрільців, буд. 77, оф. 728, м. Київ), в якому працює адвокат Качура Олександр Анатолійович, його Адвокатське бюро "Качура Лоєрс" та Адвокатське об'єднання "Качура Лоєрс". Питання в тому, що, наприклад, при обшуку політичної партії адвокат може сказати, що буде порушена адвокатська таємниця і навпаки, коли будуть обшуки, наприклад, в адвокатському об'єднанні, то політична партія може заявити, що це політичний тиск на партію. Крім того виникає запитання, як адвокат може зберігати адвокатську таємницю, якщо в одному офісі № 728 знаходиться і адвокат, і політична партія? 


Трохи хронології. 

11.09.2017 Адвокатське бюро "Качура Лоєрс" (єдиний засновник адвокат Олександр Качура) змінює адресу з вул. Хрещатик, 7/11 на вул. Січових Стрільців , буд. 77, оф. 728.


03.12.2017 куплену політичну партію "Партію рішучих змін" перейменовують в політичну партію "Слуга Народу". 


05.12.2017 політична партія "Слуга Народу" змінює адресу з Печерського узвозу на вул. Січових Стрільців, буд. 77, оф. 728. Спочатку Адвокатське бюро "Качура Лоєрс" здає партії в оренду 4 кв.м офісу, а з 01.10.2018 додатково ще 30 кв.м. При цьому бюро приймає клієнтів за цією ж адресою.


З кінця 2018 року адвокат Олександр Качура веде дві судові справи про захист честі, гідності та ділової репутації Гриценка А.С., де Гриценко є позивачем.



Отже, можна припустити, що Гриценко та Зеленський щонайменше мають прямий зв’язок через спільного адвоката.